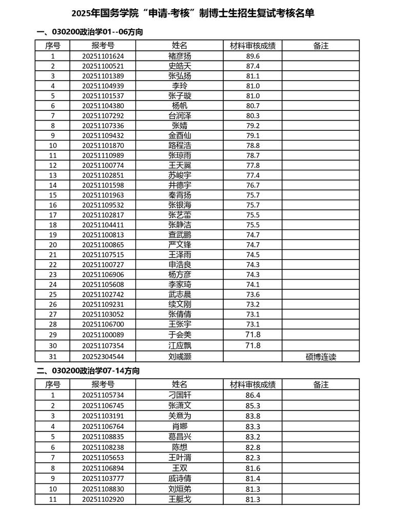
请所有进入复试考核的考生在报考系统中“确认“是否确认参加复试”。同时,在2025年3月13日20:00前发送邮件到[email protected]确认是否参加复试考核,邮件格式:“申请专业+研究方向+考生姓名+报考号+参加/不参加复试考核”。
复试考核分为笔试与面试两个环节,笔试时间为2025年3月22日(周六)上午9:00-12:00,面试时间为2025年3月23日(周日)。
各位考生请提前做好时间安排,其他关于复试考核具体安排以研究生报考系统复试通知安排为准。



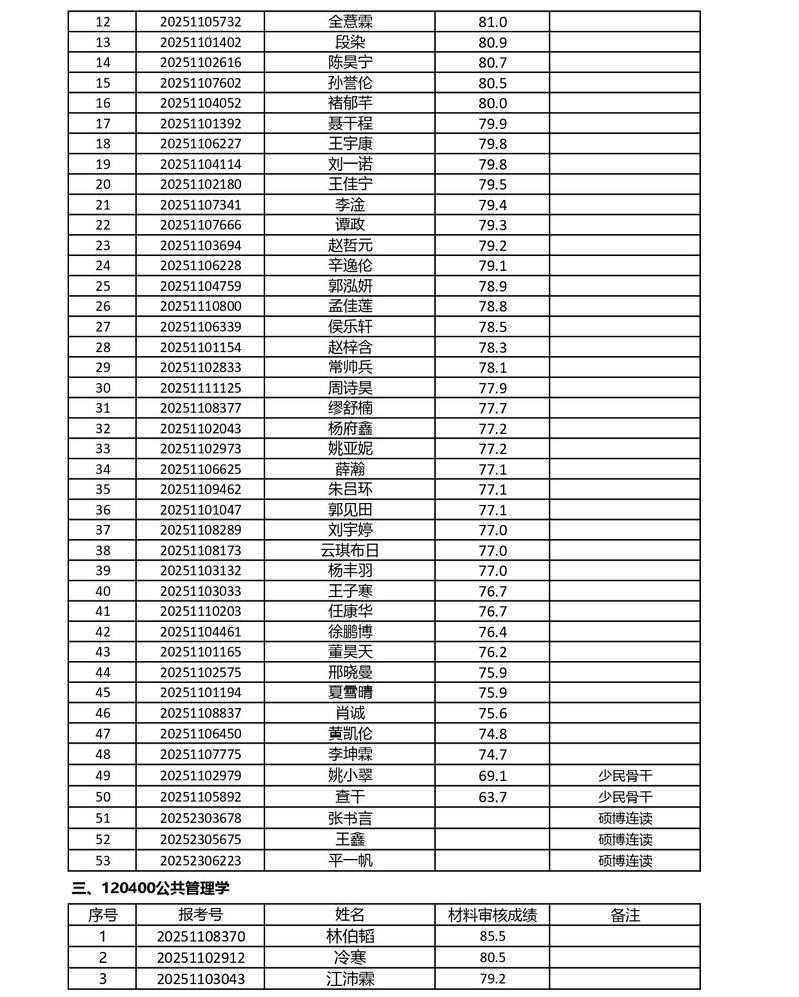
请所有进入复试考核的考生在报考系统中“确认“是否确认参加复试”。同时,在2025年3月13日20:00前发送邮件到[email protected]确认是否参加复试考核,邮件格式:“申请专业+研究方向+考生姓名+报考号+参加/不参加复试考核”。
复试考核分为笔试与面试两个环节,笔试时间为2025年3月22日(周六)上午9:00-12:00,面试时间为2025年3月23日(周日)。
各位考生请提前做好时间安排,其他关于复试考核具体安排以研究生报考系统复试通知安排为准。


